客户端

有材APP下载

新材料在线APP下载

寻材问料下载

开通会员

精彩推荐

会员享研报折扣价、看项目BP、约投资人、每日在通讯录加更多好友等特权

开通会员 查看会员特权

登录/注册

热门媒体号

热门企业号

合肥物质科学研究院在磁性拓扑半金属材料研究方面取得新进展

来源:中国科学院合肥物质科学研究院|

发表时间:2018-09-06

点击:10374

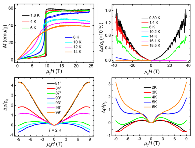
近期,强磁场中心张昌锦研究员、皮雳研究员课题组合作,在磁性拓扑半金属材料研究方面取得新进展。研究人员通过强磁场下的磁性、输运测量以及第一性原理计算,对NdSb、DySb等镧系金属锑化物磁性体系进行了深入研究,发现了磁性拓扑半金属态。


拓扑半金属是一类新型的拓扑材料,具有类似于基本粒子的低能激发态,在科学认知与实际应用方面具有重大意义。其中,狄拉克半金属的狄拉克点兼具晶体对称性与时间反演对称性,被称为“三维石墨烯”。如果晶体对称性或时间反演对称性破缺,狄拉克点变为一对外尔点,形成外尔半金属。晶体对称性破缺的外尔半金属已经在TaAs、WTe 2 等体系中发现,而时间反演对称性破缺的外尔半金属则长期未被发现。主要原因在于角分辨光电子能谱在研究磁性材料时有很大局限,不能提供磁有序态下的明确电子结构。理论上预测可能存在磁性拓扑半金属态的体系包括镧系金属锑化物、铋化物,以及GdPtBi、Mn3Sn等。


在该工作中,研究人员利用强磁场下的磁性与输运测量,研究了NdSb、DySb等材料的磁结构转变,分析了不同磁结构下电子输运的基本信息与载流子特性,结合第一性原理能带计算结果,发现NdSb的反铁磁态是狄拉克半金属态,DySb的铁磁态是外尔半金属态。尤其是,在NdSb上观测到的手性反常导致的负磁阻现象,为拓扑半金属态的存在提供了坚实证据。而NdSb、DySb也以其可调控的磁结构为研究磁性与拓扑的关联提供了理想的载体。


该系列工作的输运测量是在稳态强磁场实验装置的一号水冷磁体WM1与混合磁体上进行的,磁性测量是在二号水冷磁体WM2的磁性测量系统(VSM)上进行的。


该工作得到了国家重点研发计划、国家自然科学基金等项目的支持,主要完成人为研究生王永建、梁丹丹,相关研究发表在Physical Review B、APL Materials上。


"

NdSb的高场磁化率、磁阻测量(上图)与负磁阻测量(下图)

(上左图WM2提供最高场25T,上右图WM1提供最高场38T)


"

DySb的高场磁阻测量与能带计算结果(上左混合磁体提供最高场38.7T)

[声明]本文来源于互联网转载,转载目的在于传递更多信息,并不代表本网赞同其观点和对其真实性、准确性等负责,尤其不对文中产品有关功能性、效果等提供担保。本站文章版权归原作者所有,内容为作者个人观点,本站提醒读者,文章仅供学习参考,不构成任何投资及应用建议,如需转载,请联系原作者。如涉及作品内容、版权和其它问题,请与我们联系,我们将在第一时间处理!本站拥有对此声明的最终解释权。

点击咨询

客服

下载APP

公众号

让客服与您联系

留下您的联系方式,让客服为您提供专属服务

关闭