客户端

有材APP下载

新材料在线APP下载

寻材问料下载

开通会员

精彩推荐

会员享研报折扣价、看项目BP、约投资人、每日在通讯录加更多好友等特权

开通会员 查看会员特权

登录/注册

热门媒体号

热门企业号

东京工业大学成功开发界面低电阻全固态电池

来源:材料科技在线|

发表时间:2018-08-09

点击:15304

东京工业大学的研究人员近日成功开发出在电极/固体电解质界面电阻比较低的电池,进而解决了全固态电池的一个主要缺点。他们的研究近日以"Extremely Low Resistance of Li3PO4Electrolyte/Li(Ni0.5Mn1.5)O4 Electrode Interfaces"为标题发表在ACS Applied Materials & Interfaces杂志上。


他们最新研制的这种电池,性能远远超过传统的锂离子电池,并且表现出优异的电化学性能。这充分展现出了全固态电池技术在对便携式电子产品进行革新方面无与伦比的应用潜力。


图1.薄膜型全固态电池的结构。通过薄膜沉积的方法堆叠各种功能材料层制成电池。 LNMO / Li3PO4界面发生锂离子的自发迁移,并且具有前所未有的低电阻。(图片来源:东京工业大学)


消费者们都十分熟悉在过去几十年中流行的可充电式锂离子电池,这种电池目前也普遍应用在各种电子设备中。尽管这种电池应用广泛,但是科学家们认为传统的锂离子电池技术已经接近其理论应用潜力,因此我们十分需要开发具有更高能量密度的新型电池。


全固态电池是一种新型的锂离子电池,它是一种具有更高能量密度、使用更安全和更稳定的储能装置。然而,由于这种电池在电极/固体电解质界面处的电阻太高,阻碍了电池的快速充放电,这使得它们的商业应用受到限制。


一支由Taro Hitosugi教授领导的来自东京工业大学和东北大学的研究团队,创新性的利用Li(Ni0.5Mn1.5)O4(LNMO)制备具有极低接口电阻的全固态电池。这种电池的制备和测量都是在超高真空条件下进行,以确保电解质/电极界面没有杂质生成。


这些全固态电池的结构如图1所示。科学家们通过测试这些电池的电化学特性以揭示其界面周围的锂离子分布。通过X射线衍射仪和拉曼光谱来分析组成电池的薄膜的晶体结构。


Li离子的自发迁移发生在从Li 3 PO 4层到LNMO层,在Li 3 PO 4 / LNMO界面处将一半的LNMO转化为L2NMO。在初始充电过程中发生反向迁移以再生LNMO。


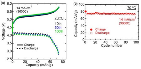
该界面的电阻由电化学阻抗图谱证明为7.6Ωcm2,比以前LMNO基的全固态电池小了两个数量级,甚至小于使用液体电解质的锂离子电池电阻。这些电池能进行快速充放电,仅在一秒钟内就能够完成半个电池的充放电。此外,电池的循环性能也很好,即使在100次充放电循环后也没有表现出明显的性能下降(见图2)。


图2.全固态电池的电学性能图。(a)充放电曲线和(b)循环特性曲线表明,全固态电池的性能在反复充放电过程中没有降低,这表明它们具有良好的循环稳定性,充放电过程具有完全可逆性。

图片来源:东京工业大学


Li(Ni0.5Mn1.5)O4是一种很有应用前途的材料,它能够为我们提供更高的电池电压,这将显著的提高电池的能量密度。 他们的研究团队希望这些结果能够促进高性能全固态电池的发展,从而革新现代便携式电子设备和电动汽车的发展。


原文来自:Nanowerk,原文题目:Expanding the limits of Li-ion batteries: Electrodes for all-solid-state batteries,由材料科技在线团队翻译整理。

“本文由新材料在线®平台入驻媒体号材料科技在线提供,观点仅代表作者本人,不代表本网站及新材料在线®立场,本站不对文章内容真实性、准确性等负责,尤其不对文中产品有关功能性、效果等提供担保。本站提醒读者,文章仅供学习参考,不构成任何投资及应用建议。如需转载,请联系原作者。如涉及作品内容、版权和其它问题,请与我们联系,我们将在第一时间处理!本站拥有对此声明的最终解释权。”

点击咨询

客服

下载APP

公众号

让客服与您联系

留下您的联系方式,让客服为您提供专属服务

关闭